Exámenes 1ª parte 2ª parte 3ª parte PECs
Clases 1- Series Numéricas 2- Integral indefinida 3- Integral definida 4- Integral impropia 5- Integral Euleriana 6- Integrales dobles e integrales iteradas 7- Introducción a las ecuaciones diferenciales 8- Ecuaciones diferenciales lineales de orden superior 9- Sistemas de ecuaciones diferenciales 10- Ecuaciones en diferencias de primer orden 11- Ecuaciones en diferencias de orden superior 12- Sistemas de ecuaciones en diferencias finitas lineales
| Twittear |
Ejercicios de matemáticas resueltos en vídeos
CLASES MATEMÁTICAS III
Tema 4- Integral impropia
Grado ADE de UNED
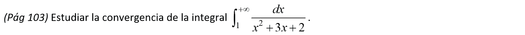
-
Video privado. Pulsa "Iniciar sesión" en libro o pide información de este curso en info@aprendermatematicas.org
¿Qué hemos visto?
Todo el tema 4 de integrales impropias. Para ello hicimos 10 ejercicios: Ex2_1, L2, L5, L1, Ex2_6, Ex2_47, L13, L3, L6, L10.Los "deberes" de esta semana:
De esta página: Todos los ejercicios que no se han hecho en clase.
De examen: Todos los que no se han hecho en clase y están en la lista siguiente:
Preguntas de examen (1ª parte): 3=L4=ExP2_1, 10=ExP2_6, 26=L2, 47=106, 53=L1.
Preguntas de examen (2ª parte): 1=L4=ExP1_3, 6=ExP1_10, 47.
Ejercicios del libro de Matemáticas III
Ejemplos resueltos en el libro
-
Video privado. Pulsa "Iniciar sesión" en libro o pide información de este curso en info@aprendermatematicas.org
-
Video privado. Pulsa "Iniciar sesión" en libro o pide información de este curso en info@aprendermatematicas.org
-
Video privado. Pulsa "Iniciar sesión" en libro o pide información de este curso en info@aprendermatematicas.org
-
Video privado. Pulsa "Iniciar sesión" en libro o pide información de este curso en info@aprendermatematicas.org
-
Video privado. Pulsa "Iniciar sesión" en libro o pide información de este curso en info@aprendermatematicas.org
Ejercicios propuestos en el libro
-
Video privado. Pulsa "Iniciar sesión" en libro o pide información de este curso en info@aprendermatematicas.org
-
Video privado. Pulsa "Iniciar sesión" en libro o pide información de este curso en info@aprendermatematicas.org
-
Video privado. Pulsa "Iniciar sesión" en libro o pide información de este curso en info@aprendermatematicas.org
-
Video privado. Pulsa "Iniciar sesión" en libro o pide información de este curso en info@aprendermatematicas.org
-
Video privado. Pulsa "Iniciar sesión" en libro o pide información de este curso en info@aprendermatematicas.org
-
Video privado. Pulsa "Iniciar sesión" en libro o pide información de este curso en info@aprendermatematicas.org
-
Video privado. Pulsa "Iniciar sesión" en libro o pide información de este curso en info@aprendermatematicas.org
-
Video privado. Pulsa "Iniciar sesión" en libro o pide información de este curso en info@aprendermatematicas.org
-
Video privado. Pulsa "Iniciar sesión" en libro o pide información de este curso en info@aprendermatematicas.org
-
Video privado. Pulsa "Iniciar sesión" en libro o pide información de este curso en info@aprendermatematicas.org